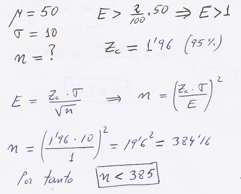
Tamaño de la muestra
La edad media de esperanza de vida de una población es 50 años, con una desviación típica de 10 años. Una compañía de seguros quiere determinar el tamaño de una muestra para que la estimación difiera del valor 50 en al menos 2% de este valor, tomando como nivel de confianza el 95%. Calcula el tamaño de dicha muestra.
