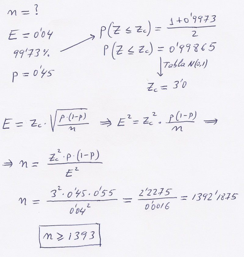
Tamaño Muestra Proporción
Deseamos conocer el número de personas mayores de edad, que sería necesario incluir en una muestra nacional, para estimar su proporción con un error de
y un nivel de confianza del 99,73%. Se dispone de un valor
del último censo.
