Superficie de figura plana 4008

áreaEjercicios_Resueltosproblemas_geometría

Calcula el valor de x para que la superficie sombreada tenga área igual a 100.

SOLUCIÓN

Podemos calcular el área sombreada como el área del rectángulo grande menos el área de las zonas blancas.

Área del rectángulo = 10 \cdot (10+x)
Área del cuadrado pequeño = x^2
Área del rectángulo pequeño = 5x

Por tanto el área sombreada será:

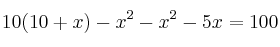
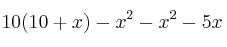
10(10+x) - x^2-x^2-5x


Como el área tiene que vale 100, igualamos a 100

10(10+x) - x^2-x^2-5x = 100


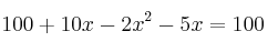
100 + 10x - 2x^2-5x = 100


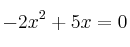
-2x^2+5x = 0


Ecuación de segundo grado que resolvemos y obtenemos como soluciones:
x=0 y x=2.5
Como "x" es una distancia tenemos que descartar valores nulos o negativos.
Por tanto la solución es \fbox{x=2.5}

Comentar el ejercicio