• Apuntes
  • Vídeos
  • Ejercicios
    • Resueltos
    • Por Curso
      • 1º ESO
      • 2º ESO
      • 3º ESO
      • 4º ESO
      • 1º BACH. CIENCIAS
      • 1º BACH. SOCIALES
      • 2º BACH. CIENCIAS
      • 2º BACH. SOCIALES
  • Más recursos
    • Actividades Interactivas
    • Selectividad (PAU)
    • Acceso Mayores 25
    • LaTeX
Inicio ›EJERCICIOS de Matemáticas ›2º ESO ›Polinomios ›Suma de polinomios. Ejercicio 4459

Suma de polinomios. Ejercicio 4459

Ejercicios_Resueltosoperaciones_con_polinomios

Dados los polinomios:
P(x)=3x^2+1
Q(x)=2x^2-2x+3
calcula:

a) P(x)+2 \cdot Q(x)
b) 3 \cdot P(x) -5 \cdot Q(x)

SOLUCIÓN

a) P(x)+2 \cdot Q(x)

P(x)+2 \cdot Q(x)=


(3x^2+1)+2 \cdot (2x^2-2x+3)=


(3x^2+1)+ (4x^2-4x+6)=


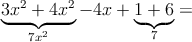
\underbrace{3x^2+4x^2}_{7x^2}-4x+\underbrace{1+6}_{7}=


\fbox{7x^2-4x+7}

b) 3 \cdot P(x) -5 \cdot Q(x)

3 \cdot P(x) -5 \cdot Q(x)=


3 \cdot( 3x^2+1) -5 \cdot (2x^2-2x+3)=


9x^2+3-10x^2+10x-15=


\fbox{-x^2+10x-12}

Comentar el ejercicio

  • 2º ESO
    • Fracciones
    • Potencias
    • Radicales
    • Números Enteros
    • Proporcionalidad
    • Geometría
    • Ecuaciones
    • Polinomios
    • Gráficas y Funciones 2º ESO
  • Mapa del sitio
  • Conectarse
  • 2001-2026 — Matemáticas IES — Contactar con Dani