Selectividad Andalucía Junio 2014 B1
a) Dadas las inecuaciones
![]()
represente el recinto que limitan y calcule sus vértices.
b) (0.7 puntos) Obtenga el máximo y el mínimo de la función
en el recinto anterior, así como los puntos en los que se alcanzan.
SOLUCIÓN
Región factible
sistema de inecuaciones lineales con dos incógnitas
Los vértices son:
![]()
![]()
![]()
![]()





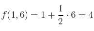
El máximo es 4 y se alcanza en el punto (1,6)
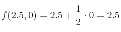
El mínimo es -2 y se alcanza en los puntos (-3,2) y (-2,0) y también en todos los puntos del segmento que los une (serían infinitos puntos)