Selectividad Andalucía 2015-4-A3
De los 700 alumnos matriculados en una asignatura, 210 son hombres y 490 mujeres. Se sabe que el 60% de los hombres y el 70% de las mujeres aprueban dicha asignatura. Se elige una persona al azar.
– a) ¿Cuál es la probabilidad de que apruebe la asignatura?
– b) Sabiendo que ha aprobado la asignatura, ¿cuál es la probabilidad de que
sea una mujer?
SOLUCIÓN


Podemos hacer un diagrama de árbol
– a) Para calcular P(A) sumamos todas las turas que acaben en A

– b) Nos piden
"sabiendo que" A, es decir, una condicionada:
. Aplicamos la fórmula de la condicionada:

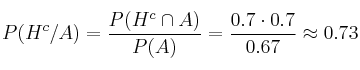
Para el numerador usamos la ruta apropiada del árbol
El denominador está calculado en el apartado anterior
