Selectividad Andalucía 2014-2-B1
– a) Determine los valores de x e y que hacen cierta la igualdad

– b) Resuelva la ecuación matricial

SOLUCIÓN
Hacemos los productos de matrices (a izquierda y derecha del signo igual) y obtenemos:
Ante una igualdad de matrices, igualamos elemento a elemento

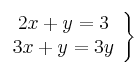
Hemos obtenido un sistema de 2x2, que ordenamos y resolvemos
Se obtienen como soluciones
; 
– b) De la ecuación matricial, se deduce que la matriz
es de dimensión
. Supongamos que sea 
La ecuación matricial quedaría:
Realizamos las operaciones a izquierda del signo igual y obtenemos:
Ante una igualdad de matrices igualamos elemento a elemento y obtenemos:
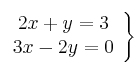
Hemos obtenido dos sistemas de ecuaciones con dos incógnitas (uno con las incógnitas
y
y otro con las incógnitas
y
.
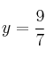
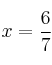
Ordenamos y resolvemos ambos sistemas, obteniendo como soluciones:
