Selectividad Andalucía 2013-4-B3
De los sucesos independientes
y
se sabe que
y ![]()
– a) Halle la probabilidad de
– b) Halle la probabilidad de que no se verifique
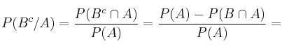
si se ha verificado
– c) ¿Son incompatibles los sucesos
y
?
SOLUCIÓN
Datos que aporta el problema:
y
independientes
![]()
– a)
Tenemos dos incógnitas, por tanto usar otra fórmula, u obtener otra ecuación para formar un sistema.
Puesto que nos da la probabilidad de la unión, vamos a usar la fórmula de la unión:
Volvemos a tener dos incógnitas, pero como son las mismas que antes podemos formar un sistema de 2 ecuaciones con 2 incógnitas:
![]()
La incógnita
está despejada en la primera ecuación, por tanto, podemos sustituir por su valor en la segunda ecuación y nos queda:
![]()
Resolviendo obtenemos que 
– b)

– c)
Son compatibles