Selectividad Andalucía 2012-3-B3
andalucíadiagrama_de_árbolEjercicios_ResueltosMatemat_Soc_Andalucía_2012probabilidadprobabilidad_totalselectividad
Se sabe que el 44% de la población activa de cierta provincia está formada por mujeres. También se sabe que, de ellas, el 25% está en paro y que el 20% de los hombres de la población activa también están en paro.
– a) Elegida, al azar, una persona de la población activa de esa provincia, calcule la probabilidad de que esté en paro.
– b) Si hemos elegido, al azar, una persona que trabaja, ¿cuál es la probabilidad de que sea hombre?
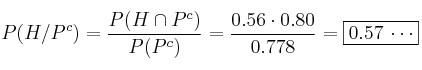
SOLUCIÓN
– a)
– b) 