Selectividad Andalucía 2012-2-A3
andalucíadiagrama_de_árbolEjercicios_ResueltosMatemat_Soc_Andalucía_2012probabilidadprobabilidad_totalselectividad
Una empresa dispone de tres máquinas A, B y C, que fabrican, respectivamente, el 60%, 30% y 10% de los artículos que comercializa. El 5% de los artículos que fabrica A, el 4% de los de B y el 3% de los de C son defectuosos. Elegido, al azar, un artículo de los que se fabrican en la empresa:
– a) ¿Cuál es la probabilidad de que sea defectuoso y esté fabricado por la máquina C?
– b) ¿Cuál es la probabilidad de que no sea defectuoso?
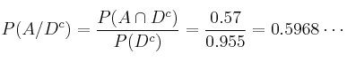
– c) Si sabemos que no es defectuoso, ¿cuál es la probabilidad de que proceda de la máquina A?
SOLUCIÓN
![]()
– a)
– b)
– c) 