Selectividad Andalucía 2011-5-A3
andalucíadiagrama_de_árbolEjercicios_ResueltosMatemat_Soc_Andalucía_2011probabilidadprobabilidad_totalselectividad
En un sistema de alarma, la probabilidad de que haya un incidente es 0.1. Si éste se produce, la probabilidad de que la alarma suene es 0.95. La probabilidad de que suene la alarma sin que haya incidente es de 0.03.
– a) ¿Cuál es la probabilidad de que suene la alarma?
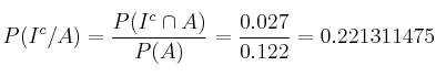
– b) Si ha sonado la alarma, calcule la probabilidad de que no haya habido incidente.
SOLUCIÓN
I : Haya Incidente
A : Suene la Alarma

a)
b)