Selectividad Andalucía 2010-6-A2
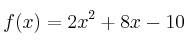
Sea la función ![]()
– a) Determine los valores de
y
sabiendo que su gráfica pasa por el punto
y alcanza un extremo local en el punto de abscisa
.
– b) Tomando
y
deduzca la curvatura de su gráfica, el valor mínimo que alcanza la función y los valores donde la función se anula.
SOLUCIÓN
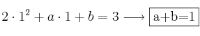
– a) Pasa por
Extremo en
Por tanto 
– b) Si
y
la función
es una parábola convexa de vértice en el punto de abcisa
. Corta al eje de abcisas en los puntos
y
.
Por tanto:
– La función es convexa en todo su dominio.
– Tiene un mínimo en el punto
– Se anula para
y ![]()