Selectividad Andalucía 2007-2A1
Sean las matrices
,
e
– (a) Determine la matriz inversa de
– (b) Halle los valores de
,
,
para los que se cumple ![]()
SOLUCIÓN

b)

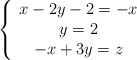
Hacemos el producto de matrices e igualamos elemento a elemento:

Resolvemos el sistema y obtenemos las soluciones:
![]()