• Apuntes
  • Vídeos
  • Ejercicios
    • Resueltos
    • Por Curso
      • 1º ESO
      • 2º ESO
      • 3º ESO
      • 4º ESO
      • 1º BACH. CIENCIAS
      • 1º BACH. SOCIALES
      • 2º BACH. CIENCIAS
      • 2º BACH. SOCIALES
  • Más recursos
    • Actividades Interactivas
    • Selectividad (PAU)
    • Acceso Mayores 25
    • LaTeX
Inicio ›EJERCICIOS de Matemáticas ›2º BACH. SOC. ›Funciones y Derivadas ›Selectividad Andalucía 2006-1-B2

Selectividad Andalucía 2006-1-B2

andalucíaderivada de una funciónEjercicios_ResueltosfuncionesMatemat_Soc_Andalucía_2006selectividad

Calcula las siguientes derivadas:

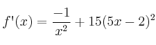
– (a) f(x)=\frac{1-3x}{x} + (5x-2)^3
– (b) g(x)=(x^2+2) \cdot Ln(x^2+2)
– (c) h(x)=3^{5x}+e^x

SOLUCIÓN

– (a) f\textsc{\char13}(x)=\frac{-1}{x^2} + 15(5x-2)^2
– (b) g\textsc{\char13}(x)=2x \cdot Ln(x^2+2) + 2x
– (c) h\textsc{\char13}(x)=5 \cdot Ln3 \cdot 3^{5x}+e^x

Comentar el ejercicio

  • 2º BACH. SOC.
    • Estadística
    • PEvAU - SELECTIVIDAD
    • Programación Lineal
    • Matrices, Determinantes y Sistemas
    • Probabilidad
    • Funciones y Derivadas
  • Mapa del sitio
  • Conectarse
  • 2001-2026 — Matemáticas IES — Contactar con Dani