Selectividad Andalucía 2004-1-A2
andalucíaasíntotascurvaturaderivada de una funciónEjercicios_ResueltosfuncionesMatemat_Soc_Andalucia_2004selectividad
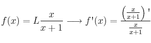
– a) Halle la función derivada de la función
y simplifique el resultado.
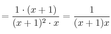
– b) Obtenga las asíntotas de la función
– c) Obtenga los intervalos de concavidad y convexidad de la función 
SOLUCIÓN
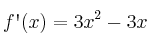
– a) Usamos la fórmula de la derivada del logaritmo neperiano 

– b) Asíntota horizontal
Asíntota vertical 
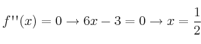
– c)

Intervalos
y
Tomamos un punto de cada intervalo para estudiar el signo de la derivada segunda. Si es positivo, es convexa y si es negativo es cóncava
por tanto Cóncava
en
por tanto Convexa
en