Selectividad Andalucía 2001-6-B1
andalucíaEjercicios_ResueltosMatemat_Soc_Andalucia_2001selectividadsist_inecuac_2_incognitasvértices
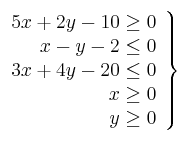
Sea el recinto definido por las siguientes inecuaciones:

– a) Dibuje dicho recinto y determine sus vértices.
– b) Determine en qué punto de ese recinto alcanza la función
el máximo valor.
SOLUCIÓN
Dibujamos el recinto
Calculamos los vértices:
–
–
– ![]()
Aplicamos la función objetivo a todos los vértices:
–
–
– ![]()
El valor máximo (22) lo alcanza en el punto (4,2)
