Problemas sistemas 3 ecuaciones
El dueño de una librería va a poner a la venta libros de tres géneros diferentes: idiomas, infantil e informática.
El dueño se ha fijado como objetivo vender 150 ejemplares y quiere obtener unos ingresos por venta de 2300 €. El precio de los libros de idiomas los ha fijado a 20€/libro, los de informática a 15€/libro y a los de infantil les va a hacer un descuento del 30% sobre 10€ que costaban el año anterior. Además sabe por ventas de otros años, que el número de libros de temática infantil va a ser la mitad de los libros de temática de idiomas. Teniendo en cuenta las condiciones descritas, ¿cuántos ejemplares debería vender de cada género para obtener su objetivo?
A continuación te pedimos que respondas a cada una de las siguientes cuestiones.
1.- Identifica y nombra cada una de las incógnitas que aparecen.
2.- Determina el precio que cuesta cada libro según su género, teniendo en cuenta que para calcular el precio de los libros de temática infantil se le va a aplicar el 30% de descuento al precio de venta del año pasado que fue de 10€ cada libro.
3.- Plantea un sistema de tres ecuaciones con tres incógnitas.
4.- Resuelve el sistema de ecuaciones por el método de Gauss matricialmente.
SOLUCIÓN
Asignación de incógnitas:
– nº de libros de idiomas: x
– nº de libros de infantil: y
– nº de libros de informática: z
Precios:
– libro de idiomas: 20 €
– libro de infantil: 7 € (10 · 0.70)
– libro de informática: 15 €
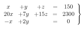
Ecuaciones:
– En total 150 libros:
– En total 2300 €:
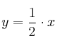
– nº libros infantil = mitad nº libros idiomas: 
Quitando denominadores y ordenando la última ecuación el sistema quedaría:

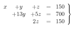
Resolvemos por Gauss
–
– ![]()
– ![]()
Pasamos a ecuaciones obteniendo un sistema escalonado (que se resuelve de abajo hacia arriba)

Al resolver el sistema obtenemos como soluciones:
![]()
![]()
![]()
Por tanto debe vender 50 libros de idiomas, 25 de infantil y 75 de informática