Problemas que se resuelven con ecuaciones
Encuentra un número cuyo cuadrado sea igual al cuadrado del número anterior más 23 unidades.
SOLUCIÓN
Asignamos incógnitas a los datos que nos pidan
Número desconocido ![]()
Además, debemos recordar que:
Número anterior ![]()
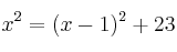
Expresamos el enunciado en lenguaje matemático:
![]()
Debemos aplicar las fórmulas de las igualdades notables
![]()
![]()
Parece una ecuación de segundo grado.
Pasamos todo al primer miembro
![]()

Se queda en una ecuación de primer grado
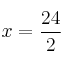
![]()
![]()

![]()
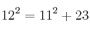
Podemos comprobarlo:
![]()
![]()
![]()
Por tanto es correcto.
El número pedido es el 12