Problemas de Geometría
Calcula el área de un triángulo equilátero de 10 cm de lado
SOLUCIÓN
Para calcular el área necesitamos la altura.
Podemos calcular la altura por Pitágoras:
![]()
![]()
![]()
![]()

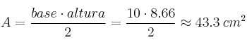
Ahora ya podemos calcular el área

Calcula el área de un triángulo equilátero de 10 cm de lado
Para calcular el área necesitamos la altura.
Podemos calcular la altura por Pitágoras:
![]()
![]()
![]()
![]()

