Problemas de Geometría
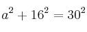
Un cable de 30 metros une el extremo superior de un poste de alta tensión con un punto del suelo situado a 16 metros de la base del poste. Calcula la altura del poste.
SOLUCIÓN
Dado que tenemos un triángulo rectángulo, podemos aplicar el Teorema de Pitágoras:
![]()
![]()
![]()
![]()
