Problemas Pitágoras
Apoyamos una escalera sobre la pared. El extremo inferior de la misma está a 1,5 m de la pared. ¿A qué altura está el extremo superior si la escalera mide 6 m.?
SOLUCIÓN
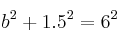
Aplicamos Pitágoras:
![]()
![]()
![]()
![]()

está a una altura de 
Apoyamos una escalera sobre la pared. El extremo inferior de la misma está a 1,5 m de la pared. ¿A qué altura está el extremo superior si la escalera mide 6 m.?
Aplicamos Pitágoras:
![]()
![]()
![]()
![]()

está a una altura de 