Problemas Geometría
Calcula el área de un triángulo de lados 5cm, 8cm y 10cm.
SOLUCIÓN
Veamos si el triángulo es rectángulo:

![]()
El triángulo no es rectángulo (no cumple Pitágoras).
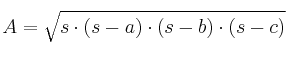
Se puede calcular el área de cualquier triángulo (conociendo los tres lados) aplicando la fórmula de Herón:

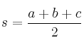
donde a, b y c son los lados y s es la mitad del Perímetro:

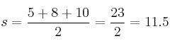
Si la aplicamos a un triángulo de lados 5, 8 y 10 tendremos:



