Problema resuelto con sistema de 2 ecuaciones 4473
En un corral hay conejos y gallinas, que hacen un total de 61 cabezas y 196 patas. Hallar el número de conejos y gallinas.
SOLUCIÓN
Paso 1: Asignar incógnitas a los datos que pide el problema
El problema pide el número de conejos y el número de gallinas, entonces:
Número de conejos ![]()
Número de gallinas ![]()
Paso 2: Traducir del lenguaje humano al lenguaje algebraico, expresando en forma de ecuaciones los datos o pistas que aporta el enunciado
Hacen un total de 61 cabezas, significa que hay 61 animales en total (pues cada animal tiene una sola cabeza)
![]()
![]()
Hacen un total de 196 patas (las gallinas tienen 2 patas y los conejos 4 patas).

![]()
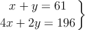
Paso 3: Resolver el sistema de ecuaciones
Con las dos ecuaciones obtenidas formamos un sistema de ecuaciones
![]()
Debemos resolverlo usando alguno de los métodos conocidos. En este caso lo resolvemos por sustitución:
Despejamos "x" en la primera ecuación
![]()
Y sustituimos en la segunda ecuación
(donde aparezca "x" ponemos "61-y")
![]()
![]()
Seguimos resolviendo esta ecuación hasta el final
![]()
![]()
![]()
![]()
Ahora calculamos "x" que lo teníamos despejado y recuadrado antes
![]()
Por tanto, hay 37 conejos y 24 gallinas
Paso 4: Comprobar las soluciones
Aunque no es obligatorio, si comprobamos las soluciones nos aseguramos que hemos resuelto bien el problema.
61 cabezas:
24+37=61 (CORRECTO)
196 patas:
Conejos: 37 x 4 = 148
Gallinas: 24 x 2 = 48
Total: 148 + 48 = 196 (CORRECTO)