Problema programación lineal carne perros
Cierta compañía produce dos tipos de alimentos para perros, marcas A y B, respectivamente. Cada lata de la marca A contiene 200 g de carne y 100 g de harina. La marca B contiene 140 g de carne y 160 g de harina por lata.
Las instalaciones pueden manipular un máximo de 78 kg. de carne y 48 kg. de harina por hora. Si el beneficio obtenido de la marca A es de 300 u.m. (unidades monetarias) por lata y el de la marca B es de 240 u.m. por lata, ¿Cuántas latas de cada marca deben producirse por hora para maximizar el beneficio?
Averigua cómo se alcanzará el beneficio máximo.
SOLUCIÓN
Ponemos los datos en una tabla:

Hemos pasado los kg a gramos para trabajar con las mismas unidades.
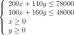
Por tanto el sistema de inecuaciones a resolver es el siguiente:

Añadimos las dos últimas porque no se puede fabricar un número negativo de latas.
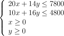
Simplificamos las dos primeras inecuaciones dividiendo por 10

Se podría simplificar más .. pero las vamos a dejar ya como están.
Recordemos el procedimiento:
De las dos últimas inecuaciones se obtiene como solución el cuadrante de arriba-derecha.
Procedemos con las otras dos inecuaciones:
Primero dibujamos la recta ![]()
Para dibujarla necesitamos dos puntos.
Si 
El punto es 
Si 
El punto es ![]()
Dibujamos la recta
Averiguamos cuál es el semiplano solución y procedemos igual con la otra inecuación. Nos quedará al final la siguiente región factible:
Calculamos los vértices:
Conocemos 3 vértices: ![]()
Para calcular el cuarto vértice resolvemos el sistema formado por las ecuaciones de las dos rectas que pasan por ese punto:

Se obtienen como soluciones
, por tanto el cuarto vértice es el punto ![]()
Finalmente aplicamos la función objetivo a todos los vértices:
![]()
![]()
![]()
![]()
![]()
Por lo tanto, el máximo beneficio sería de 120000 u.m. y se obtendría fabricando 320 latas de tipo A y 100 latas de tipo B