Problema programación lineal bombones
Se desea fabricar dos tipos de cajas de bombones que llamaremos A y B. Las cajas de tipo A contienen 1 kg de chocolate y 2 kg de cacao; las de tipo B contienen 2 kg de chocolate, 1 kg de cacao y 1 kg de almendras. Por cada caja del tipo A se ganan 2 € y por cada caja del tipo B, 3 €. Se dispone de 500 kg de chocolate, 400 kg de cacao y 225 kg de almendras.
¿Cuántas cajas de cada tipo hay que fabricar para que la ganancia sea máxima?
¿A cuánto asciende esta ganancia máxima?
SOLUCIÓN
Ponemos los datos en una tabla:

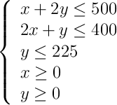
Por tanto el sistema de inecuaciones a resolver es el siguiente:

Las rectas quedarían como en la siguiente imagen
Y la región factible será:
Calculamos los vértices y se obtine el resultado que aparece en la siguiente imagen:
Aplicamos la función objetivo a todos los vértices:
![]()
![]()
![]()
![]()
![]()
![]()
La ganancia máxima es de 800 euros y se consigue fabricando 100 cajas de tipo A y 200 cajas de tipo B


