Problema Geometría
El maletero de un coche, de forma de ortoedro, tiene unas dimensiones de 2 metros de largo, 1 metro de ancho y 80 cm. de alto. ¿Podemos meter en el maletero una barra de madera de 260 cm. de larga?
SOLUCIÓN
La máxima distancia sería la diagonal
del ortoedro.
Para calcularla debemos calcular antes la diagonal de la base ![]()
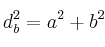
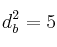
Aplicamos Pitágoras
![]()
![]()
![]()

Ahora nos fijamos en el triángulo rectángulo verde y calculamos la diagonal del ortoedro
Aplicamos Pitágoras

![]()
![]()

Por tanto, no caberá una barra de 2.60