Problema Geometría
Calcula el área de un segmento circular de
en un círculo de 24 cm. de diámetro.
SOLUCIÓN
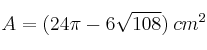
Área Segmento circular = Área sector circular - Área del triángulo
Calculamos primero el área del sector circular


Ahora calculamos el área del triángulo
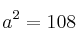
Al ser un sector de 60º origina un triángulo equilátero: los 3 ángulos son de 60º y los 3 lados miden 12 cm (el radio de la circunferencia).
Calculamos la altura aplicando Pitágoras:
![]()
![]()
![]()
![]()



Por tanto el área del segmento circular será:
