Problema Geometría
Halla el área y el perímetro de un sector circular de un círculo de 15 cm. de radio, sabiendo que su amplitud es:
–
–
–
– ![]()
SOLUCIÓN
En un sector circular la fórmula para calcular el área es:

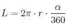
La longitud del arco se calcula con la fórmula:

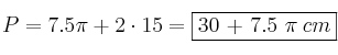
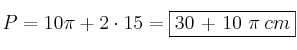
El perímetro del sector = arco + 2 radio
![]()
– Si
y ![]()



– Si
y ![]()



– Si
y ![]()



– Si
y ![]()


