Probabilidad. Dado de quinielas
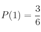
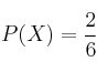
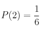
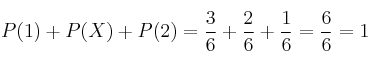
Un dado de quinielas tiene tres caras con "1" , dos caras con "x" y una cara con "2". Si lanzamos el dado, ¿qué probabilidad hay de sacar un "1"? ¿y una "x"? ¿y un "2"?. ¿Cuánto suman todas las probabilidades calculadas antes?
SOLUCIÓN
– 
– 
– 
La suma sería:
