Pitágoras. Triángulo equilátero
Calcula el lado de un triángulo equilátero, sabiendo que su altura es 6 m.
SOLUCIÓN
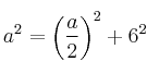
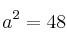
En un triángulo equilátero las alturan cortan al lado opuesto justo en su punto medio, por tanto, si el lado vale
entonces la altura lo divide en dos partes iguales que valdrán la mitad cada una: ![]()
Podemos aplicar Pitágoras a uno de los triángulos rectángulos (por ejemplo, el de la izquierda)




![]()
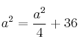
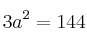
![]()

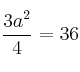
![]()

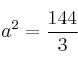
el lado vale 