• Apuntes
  • Vídeos
  • Ejercicios
    • Resueltos
    • Por Curso
      • 1º ESO
      • 2º ESO
      • 3º ESO
      • 4º ESO
      • 1º BACH. CIENCIAS
      • 1º BACH. SOCIALES
      • 2º BACH. CIENCIAS
      • 2º BACH. SOCIALES
  • Más recursos
    • Actividades Interactivas
    • Selectividad (PAU)
    • Acceso Mayores 25
    • LaTeX
Inicio ›EJERCICIOS de Matemáticas ›3º ESO ›Geometría ›Pitágoras. Diagonal de un rectángulo

Pitágoras. Diagonal de un rectángulo

Ejercicios_Resueltosgeometríapitágoras

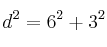
Calcula la diagonal de un rectángulo de lados 3m y 6 m.

SOLUCIÓN

d^2=6^2+3^2
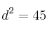
d^2=45
d=\sqrt{45}
La diagonal mide \sqrt{45} \: m , aproximadamente 6,7 \: m

Comentar el ejercicio

  • 3º ESO
    • Sistemas de ecuaciones
    • Ecuaciones
    • Polinomios
    • Radicales
    • Potencias
    • Proporcionalidad y Porcentajes
    • Números Reales
    • Funciones y Gráficas
    • Sucesiones
    • Probabilidad
    • Geometría
    • Estadística
    • Problemas especiales
  • Mapa del sitio
  • Conectarse
  • 2001-2026 — Matemáticas IES — Contactar con Dani