• Apuntes
  • Vídeos
  • Ejercicios
    • Resueltos
    • Por Curso
      • 1º ESO
      • 2º ESO
      • 3º ESO
      • 4º ESO
      • 1º BACH. CIENCIAS
      • 1º BACH. SOCIALES
      • 2º BACH. CIENCIAS
      • 2º BACH. SOCIALES
  • Más recursos
    • Actividades Interactivas
    • Selectividad (PAU)
    • Acceso Mayores 25
    • LaTeX
Inicio ›EJERCICIOS de Matemáticas ›3º ESO ›Radicales ›Operaciones con radicales (2883)

Operaciones con radicales (2883)

Ejercicios_Resueltosoperaciones radicalesradicales

Calcula y simplifica:

\sqrt[3]{16} - \sqrt[3]{250} + \sqrt[3]{1024}

SOLUCIÓN

\sqrt[3]{16} - \sqrt[3]{250} + \sqrt[3]{1024}


Factorizamos los radicandos: Factorizar un número
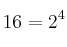
16=2^4
250=2 \cdot 5^3
1024=2^{10}

\sqrt[3]{2^4} - \sqrt[3]{2 \cdot 5^3} + \sqrt[3]{2^{10}}=


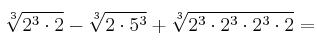
\sqrt[3]{2^3 \cdot 2} - \sqrt[3]{2 \cdot 5^3} + \sqrt[3]{2^3 \cdot 2^3 \cdot 2^3 \cdot 2} =


2 \sqrt[3]{2} - 5 \sqrt[3]{2} + 2 \cdot 2 \cdot 2 \sqrt[3]{2} =


(2-5+8) \sqrt[3]{2}=


5 \sqrt[3]{2}

Comentar el ejercicio

  • 3º ESO
    • Sistemas de ecuaciones
    • Ecuaciones
    • Polinomios
    • Radicales
    • Potencias
    • Proporcionalidad y Porcentajes
    • Números Reales
    • Funciones y Gráficas
    • Sucesiones
    • Probabilidad
    • Geometría
    • Estadística
    • Problemas especiales
  • Mapa del sitio
  • Conectarse
  • 2001-2026 — Matemáticas IES — Contactar con Dani