• Apuntes
  • Vídeos
  • Ejercicios
    • Resueltos
    • Por Curso
      • 1º ESO
      • 2º ESO
      • 3º ESO
      • 4º ESO
      • 1º BACH. CIENCIAS
      • 1º BACH. SOCIALES
      • 2º BACH. CIENCIAS
      • 2º BACH. SOCIALES
  • Más recursos
    • Actividades Interactivas
    • Selectividad (PAU)
    • Acceso Mayores 25
    • LaTeX
Inicio ›EJERCICIOS de Matemáticas ›3º ESO ›Radicales ›Operaciones con radicales [2852]

Operaciones con radicales [2852]

Ejercicios_Resueltosoperaciones radicalesradicales

Opera y simplifica:

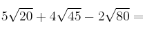
– a) 5\sqrt{20} + 4\sqrt{45} - 2\sqrt{80}
– b) 5\sqrt[3]{54} - 3 \sqrt[3]{250} - \sqrt[3]{16}

SOLUCIÓN

– a) 5\sqrt{20} + 4\sqrt{45} - 2\sqrt{80} =
5\sqrt{2^2 \cdot 5} + 4\sqrt{3^2 \cdot 5} - 2\sqrt{2^4 \cdot 5} =
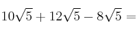
5 \cdot 2 \sqrt{5} + 4 \cdot 3 \sqrt{5} - 2 \cdot 2 \cdot 2 \sqrt{5} =
10 \sqrt{5} + 12 \sqrt{5} - 8 \sqrt{5} =
(10+12-8) \sqrt{5} =
14 \sqrt{5}

– b) 5\sqrt[3]{54} - 3 \sqrt[3]{250} - \sqrt[3]{16}=
5\sqrt[3]{2 \cdot 3^3} - 3 \sqrt[3]{2 \cdot 5^3} - \sqrt[3]{2^4}=
5 \cdot 3 \sqrt[3]{2} - 3 \cdot 5 \sqrt[3]{2} - 2 \sqrt[3]{2}=
(15 - 15 -2 ) \sqrt[3]{2} = - 2 \sqrt[3]{2}=

Comentar el ejercicio

  • 3º ESO
    • Sistemas de ecuaciones
    • Ecuaciones
    • Polinomios
    • Radicales
    • Potencias
    • Proporcionalidad y Porcentajes
    • Números Reales
    • Funciones y Gráficas
    • Sucesiones
    • Probabilidad
    • Geometría
    • Estadística
    • Problemas especiales
  • Mapa del sitio
  • Conectarse
  • 2001-2026 — Matemáticas IES — Contactar con Dani