Operaciones con potencias
Calcula las siguientes potencias:
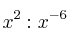
– a)
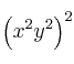
– b)
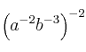
– c)
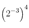
– d)
– e)
– f)
– g)
– h)
– i)
– j) 
Calcula las siguientes potencias:
– a)
– b)
– c)
– d)
– e)
– f)
– g)
– h)
– i)
– j) 