Muestreo Estratificado con Afijación Proporcional 2
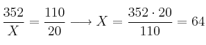
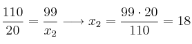
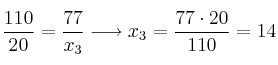
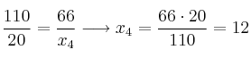
En un instituto hay 110 alumnos de 1º ESO, 99 de 2º ESO, 77 de 3º ESO y 66 de 4º ESO. Se toma una muestra para hacer una encuesta, usando muestreo estratificado con afijación proporcional. Se sabe que en la muestra había 20 alumnos de 1º ESO. ¿Cuántos alumnos hay en la muestra de los demás cursos y cuál es el tamaño de la muestra?
SOLUCIÓN
| TOTAL | 1ºESO | 2º ESO | 3º ESO | 4º ESO | |
| Población | 352 | 110 | 99 | 77 | 66 |
| Muestra | X | 20 | x_2 | x_3 | x_4 |





Por tanto los datos completos serían:
| TOTAL | 1ºESO | 2º ESO | 3º ESO | 4º ESO | |
| Población | 352 | 110 | 99 | 77 | 66 |
| Muestra | 64 | 20 | 18 | 14 | 12 |