Muestreo Estratificado con Afijación Proporcional
En un pueblo habitan 700 hombres adultos, 800 mujeres adultas y 500 menores. De él se quiere seleccionar una muestra de 80 personas, utilizando, para ello, muestreo estratificado con afijación proporcional. ¿Cuál será la composición que debe tener dicha muestra?
SOLUCIÓN
Expresamos en una tabla todos los datos
| Hombres | Mujeres | Niños | TOTAL | |
| Población | 700 | 800 | 500 | 2000 |
| Muestra | x | y | z | 80 |
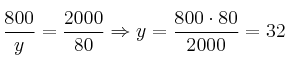
Expresamos la proporcionalidad:

Para calcular cualquiera de las incógnitas, buscamos una proporción donde conozcamos 3 de los 4 datos:



Por tanto, en la muestra tomaríamos 28 hombres, 32 mujeres y 20 niños
Mensajes
25 de octubre de 2016, 15:28, por Fiorella
¿y como salió el 80? eso no lo explica.
25 de octubre de 2016, 23:22, por dani
El 80 lo dice el enunciado del ejercicio (no hemos tenido que calcularlo).
Saludos.
27 de octubre de 2017, 14:46, por Juan Gomes
El primer consejo es leer el enunciado.
19 de febrero de 2018, 18:23, por Sanchezito
Juan te quiero.
1ro de julio de 2019, 04:19, por CRISTINA
EL 80 ES UN DATO DADO EN EL PROBLEMA.
28 de julio de 2019, 03:06, por María Arias
Primeramente Hola y ese 80 es el total de la muestra.
10 de septiembre de 2020, 19:03, por Virginia
Excelentemente bien explicado. Aclaro todas mis dudas, muchas gracias!