Medidas de longitud. Convertir a metros
Convierte a metros las siguientes longitudes:
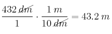
– a) 432 dm
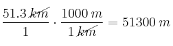
– b) 51,3 km
– c) 112 dam
– d) 43200 cm
– e) 32120 mm
SOLUCIÓN
Múltiplos y submúltiplos del metro
Unidades de longitud. kilómetro, hectómetro, decámetro, metro, centímetro, decímetro, milímetro
matematicasies.com
– a) ![]()
– b) ![]()
– c) ![]()
– d) ![]()
– e) ![]()
Otra forma de hacerlo
a) 
b) 
c) 
d) 
e) 
Mensajes
3 de septiembre de 2018, 19:37, por karlos
MUCHAS GRACIA, ME SIRVIO PARA LA RECUPERACION SAQUE UN 8,75 MUCHAS GRACIAS
-UN SALUDO-
KARLOS
18 de marzo de 2020, 17:56, por hugo
Hola
A mí tambien me ha servido de ayuda estos ejercicios, porque he sacado un 9’75 en el examen; estoy muy contento, gracias por esos ejercicios
Un saludo.