Matrices Selectividad Asturias
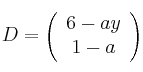
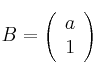
Sean las matrices
,
,
,

– a) Si
, plantea un sistema de 2 ecuaciones y 2 incógnitas (representadas por
,
) en función de
– b) ¿Para qué valores de
el sistema tiene solución? ¿es siempre única? Encuentra una solución para
con ![]()