Lenguaje algebraico y superficie 3292
Tenemos una tetra brik con forma de ortoedro de base cuadrada. El lado de la base mide x cm y la altura es de 8 cm. Calcula el valor de x para que la superficie total del cuerpo sea de 264 centímetros cuadrados.
SOLUCIÓN
La superficie total se obtendría sumando la de sus 6 caras (iguales en parejas de dos).
![]()
Queremos que la superficie sea de 264, por tanto igualamos y resolvemos la ecuación:
![]()
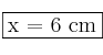
Aplicamos la fórmula de las ecuaciones de 2º grado, y obtenemos como soluciones 6 y -22. Dado que x es una medida real, no puede ser negativa y por ello descartamos la solución negativa.
Por tanto el valor pedido es 