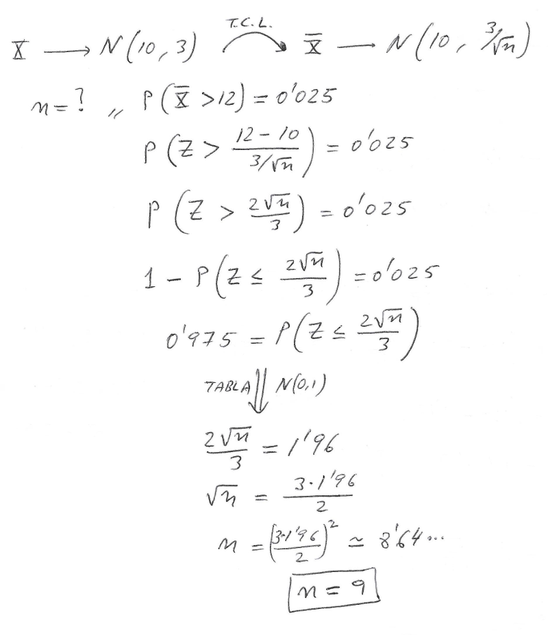
Inferencia Estadística
La variable
se distribuye según una ley normal de media 10 y desviación típica 3. Determine el tamaño de una muestra extraída de la población, de modo que la probabilidad de que la media muestral esté por encima de 12 sea de 0,025
