Inferencia Estadística
El tiempo de reacción de un automovilista ante un obstáculo inesperado sigue una distribución normal con desviación típica de 0,1 segundo. Deduzca el tamaño con el que ha de tomarse una muestra para tener una confianza del 90% de que el error de estimación de tiempo medio de reacción no supere los 0,02 segundos.
SOLUCIÓN
![]()
![]()
![]()
confianza: ![]()
Cálculo del valor crítico
para una confianza del ![]()

Miramos la tabla de la N(0,1)
y obtenemos ![]()
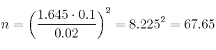
El máximo admisible responde a la fórmula

sustituimos por los datos

Ahora debemos despejar "n"


Por tanto el tamaño de la muestra debe ser
para que el error no supere los 0.02 segundos