Funciones y Gráficas
(46) ejercicios de Funciones y Gráficas
-
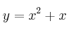
Representa gráficamente la función:

-
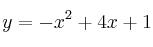
Representa gráficamente la función:

-
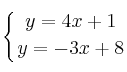
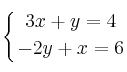
Resuelve gráficamente el sistema de ecuaciones:

-
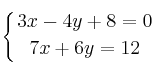
Resuelve gráficamente el sistema de ecuaciones:

-
Resuelve gráficamente el sistema de ecuaciones:

