• Apuntes
  • Vídeos
  • Ejercicios
    • Resueltos
    • Por Curso
      • 1º ESO
      • 2º ESO
      • 3º ESO
      • 4º ESO
      • 1º BACH. CIENCIAS
      • 1º BACH. SOCIALES
      • 2º BACH. CIENCIAS
      • 2º BACH. SOCIALES
  • Más recursos
    • Actividades Interactivas
    • Selectividad (PAU)
    • Acceso Mayores 25
    • LaTeX
Inicio ›EJERCICIOS de Matemáticas ›1º ESO ›Fracciones ›Fracción entre Fracción

Fracción entre Fracción

Ejercicios_Resueltosfraccionesoperaciones_con_fracciones

Calcula la siguiente expresión:
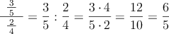
\frac{\:\: \frac{\: 3 \:}{\:5\:} \:\:}{\frac{\:2\:}{4}}

SOLUCIÓN

\frac{\:\: \frac{\: 3 \:}{\:5\:} \:\:}{\frac{\:2\:}{4}}=\frac{3}{5} : \frac{2}{4} = \frac{3 \cdot 4}{5 \cdot 2} = \frac{12}{10}=\frac{6}{5}

Comentar el ejercicio

  • 1º ESO
    • Ecuaciones
    • Fracciones
    • Geometría
    • Medidas
    • Naturales
    • Enteros
    • Decimales
    • Potencias y raíces
    • Estadística
    • Probabilidad
    • Tablas y Gráficas
    • Proporcionalidad y Porcentajes
  • Mapa del sitio
  • Conectarse
  • 2001-2026 — Matemáticas IES — Contactar con Dani