[11] Fórmulas matemáticas en tus artículos
Las fórmulas matemáticas en SPIP se insertan usando código LaTeX.
El procesador de macros o lenguaje de bajo nivel LaTeX no sólo se usa para escribir ecuaciones matemáticas, sino que es lo mejor que existe para redactar artículos científicos o libros técnicos, no sólo porque se puede conseguir cualquier expresión, sino por la calidad final (en PDF) del documento. Afortunadamente no vamos a necesitar instalarlo, ni aprenderlo para poner fórmulas en nuestros artículos.
¿Cómo funciona LaTeX en SPIP?
– Las fórmulas se teclean en el artículo usando comandos LaTeX
– Spip las envía a un servidor TeX público y éste se las devuelve a spip ya procesadas y en formato imagen.png
– Spip muestra la imagen.png en el artículo y además la guarda en la caché, de forma que si vuelves a necesitar la misma fórmula la saca de la caché para evitar tener que enviarla a procesar de nuevo.
Por tanto, estamos dependiendo de un server público, que en ocasiones pudiera estar saturado, y que tiene un tamaño predeterminado para los caracteres de las fórmulas. Aunque es suficiente para unas pocas fórmulas, si quieres crear un blog o web que las use a menudo (como la base de datos de ejercicios de matemáticas de esta web) se hace necesario instalar nuestro propio servidor TeX (lo haremos posteriormente, cuando esté más avanzado nuestro manual).
Pero vayamos al grano:
Insertar una fórmula entre el texto
Usaremos la siguiente expresión:
<math> $ fórmula $ </math>
Por ejemplo el código siguiente:
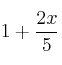
La fórmula <math> $ 1 +\frac{2x}{5} $ </math> siqnifica que ...ofrecerá como salida:
La fórmula siqnifica que ...
|
Insertar una fórmula centrada
Usaremos la siguiente expresión:
<math> $$ fórmula $$ </math>
Por ejemplo el código siguiente:
<math> $$ 1 +\frac{2x}{5} $$ </math>ofrecerá como salida:
|
|
Varias fórmulas en un artículo
Si se usan muchas fórmulas en un mismo artículo, pondremos sólo una vez las etiquetas <math> y </math> (por ejemplo al principio y al final del documento), sin embargo sí hay que poner el símbolo $ al principio y final de cada fórmula.
Por ejemplo el código siguiente:
Calcula la función derivada de las siguientes funciones:
<math>
- a) $f(x) = 2x^5 - 4x^3 + 5x -12$
- b) $g(x) = \frac{x^2-3x}{2x-5}$
</math>ofrecerá como salida:
|
Calcula la función derivada de las siguientes funciones:
– a) |
Resumen de comandos LaTeX
– Exponentes, subíndices, fracciones y radicales
| LaTeX | Resultado | |
|---|---|---|
| x^3+5x^2 | ||
| A_0=x_0+x_1 | ||
\frac{2x}{3} |
||
\sqrt{3x^2+5} |
![]() | |
\sqrt[3]{3x^2+5} |
![]() |
– Letras griegas y símbolos matemáticos
| LaTeX | Resultado | LaTeX | Resultado | |||
|---|---|---|---|---|---|---|
| \alfa | \exists | $\exists$ | ||||
| \beta | $\beta$ | \infty | $\infty$ | |||
| \gamma | $\gamma$ | \forall | $\forall$ | |||
| \delta | $\delta$ | \emptyset | $\emptyset$ | |||
| \epsilon | $\epsilon$ | \pm | $\pm$ | |||
| \pi | $\pi$ | \cup | $\cup$ | |||
| \sigma | $\sigma$ | \cap | $\cap$ | |||
| \omega | $\omega$ | \leq | $\leq$ | |||
| \theta | $\theta$ | \geq | $\geq$ | |||
| \lambda | $\lambda$ | \neq | $\neq$ | |||
| \mu | $\mu$ | \in | $\in$ | |||
| \Omega | $\Omega$ | \notin | $\notin$ | |||
| \rho | $\rho$ | \subset | $\subset$ |
– Flechas, espacios, puntos suspensivos, ...
| LaTeX | Resultado | LaTeX | Resultado | |||
|---|---|---|---|---|---|---|
| \rightarrow | \ldots | |||||
| \leftarrow | \cdots | |||||
| \Rightarrow | \vdots | |||||
| \Leftarrow | \ddots | |||||
| \Longrightarrow | \: | |||||
| \Longleftarrow | \bigcup | |||||
| \longrightarrow | \bigcap | |||||
| \longleftarrow | ||||||
| \leftrightarrow | ||||||
| \Leftrightarrow | ||||||
| \longleftrightarrow | ||||||
| \Longleftrightarrow |
– A veces necesitamos escribir algunos caracteres encima de otros:
\overline{A} |
\underline{A} |
|||||
\bar{B} |
\underbar{B} |
|||||
\overbrace{a+b} |
![]() |
\underbrace{a+b} |
||||
\vec{a} |
\dot{a} |
Para más información puedes visitar la sección LaTeX de esta misma web
siqnifica que ...


![\sqrt[3]{3x^2+5} \sqrt[3]{3x^2+5}](local/cache-TeX/9974c0b281fe46c3923642189315e557.png)
