• Apuntes
  • Vídeos
  • Ejercicios
    • Resueltos
    • Por Curso
      • 1º ESO
      • 2º ESO
      • 3º ESO
      • 4º ESO
      • 1º BACH. CIENCIAS
      • 1º BACH. SOCIALES
      • 2º BACH. CIENCIAS
      • 2º BACH. SOCIALES
  • Más recursos
    • Actividades Interactivas
    • Selectividad (PAU)
    • Acceso Mayores 25
    • LaTeX
Inicio ›EJERCICIOS de Matemáticas ›3º ESO ›Polinomios ›Factorizar Polinomios Segundo Grado

Factorizar Polinomios Segundo Grado

Ejercicios_Resueltosfactorizar_polinomios

Factoriza los siguientes polinomios:
– x^2+x-6
– x^2-9
– 3x^2-27
– x^2+4
– 3x^2+3x-18

SOLUCIÓN

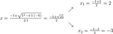
– x^2+x-6 = (x-2) \cdot (x+3)

\begin{array}{ccc} & & x_1 = \frac{-1+5}{2}=2\\ & \nearrow &\\ x=\frac{-1\pm \sqrt{1^2-4 \cdot1\cdot(-6)}}{2 \cdot1}=\frac{-1\pm \sqrt{25}}{2}& &\\ & \searrow &\\& &x_2 = \frac{-1-5}{2}=-3\end{array}

– x^2-9 = x^2-3^2 = (x+3) \cdot (x-3)

– 3x^2-27 = 3 \cdot (x^2-9) = 3 \cdot (x^2-3^2) = 3 \cdot (x+3) \cdot (x-3)

– x^2+4 No se puede factorizar

– 3x^2+3x-18 = 3 \cdot (x^2+x-6) = 3 \cdot (x-2) \cdot (x+3)

Comentar el ejercicio

  • 3º ESO
    • Sistemas de ecuaciones
    • Ecuaciones
    • Polinomios
    • Radicales
    • Potencias
    • Proporcionalidad y Porcentajes
    • Números Reales
    • Funciones y Gráficas
    • Sucesiones
    • Probabilidad
    • Geometría
    • Estadística
    • Problemas especiales
  • Mapa del sitio
  • Conectarse
  • 2001-2026 — Matemáticas IES — Contactar con Dani