Ejercicio Potencias 2894
Expresa el resultado en forma de potencia:
– a)
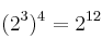
– b) ![]()
SOLUCIÓN
Para calcular la potencia de una potencia, se deja la misma base y se multiplican los exponentes
– a)
– b) ![]()
Expresa el resultado en forma de potencia:
– a)
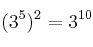
– b) ![]()
Para calcular la potencia de una potencia, se deja la misma base y se multiplican los exponentes
– a)
– b) ![]()