• Apuntes
  • Vídeos
  • Ejercicios
    • Resueltos
    • Por Curso
      • 1º ESO
      • 2º ESO
      • 3º ESO
      • 4º ESO
      • 1º BACH. CIENCIAS
      • 1º BACH. SOCIALES
      • 2º BACH. CIENCIAS
      • 2º BACH. SOCIALES
  • Más recursos
    • Actividades Interactivas
    • Selectividad (PAU)
    • Acceso Mayores 25
    • LaTeX
Inicio ›EJERCICIOS de Matemáticas ›3º ESO ›Polinomios ›Ejercicio Polinomios. Suma y Resta

Ejercicio Polinomios. Suma y Resta

Ejercicios_Resueltosoperaciones_con_polinomios

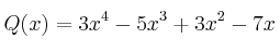
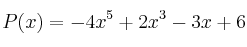
Dados los polinomios:
P(x)=-4x^5+2x^3-3x+6
Q(x)=3x^4-5x^3+3x^2-7x
calcula:
– P(x)+Q(x)
– P(x)-Q(x)

SOLUCIÓN

– P(x)+Q(x) = -4x^5+2x^3-3x+6 + 3x^4-5x^3+3x^2-7x = -4x^5+3x^4-3x^3+3x^2-10x+6
– P(x)-Q(x) = -4x^5+2x^3-3x+6 - (3x^4-5x^3+3x^2-7x) =
= -4x^5+2x^3-3x+6 - 3x^4+5x^3-3x^2+7x= -4x^5-3x^4+7x^3-3x^2+4x+6

Comentar el ejercicio

  • 3º ESO
    • Sistemas de ecuaciones
    • Ecuaciones
    • Polinomios
    • Radicales
    • Potencias
    • Proporcionalidad y Porcentajes
    • Números Reales
    • Funciones y Gráficas
    • Sucesiones
    • Probabilidad
    • Geometría
    • Estadística
    • Problemas especiales
  • Mapa del sitio
  • Conectarse
  • 2001-2026 — Matemáticas IES — Contactar con Dani