Ejercicio Matrices 4621
En un edificio residencial hay tres tipos de viviendas: L3, L4 y L5. Las viviendas L3 tienen 4 ventanas pequeñas y 3 ventanas grandes; las viviendas L4 tienen 5 ventanas pequeñas y 4 grandes; y las L5, 6 ventanas pequeñas y 5 grandes. Cada ventana pequeña tiene 2 cristales y 4 bisagras, y las grandes, 4 cristales y 6 bisagras.
– a) Escribe una matriz que describa el número y el tamaño de las ventanas de cada vivienda y otra que exprese el número de cristales y bisagras de cada tipo de ventana.
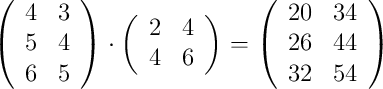
– b) Calcula la matriz que expresa el número de cristales y de bisagras de cada tipo de vivienda
SOLUCIÓN
Matriz que describe el número y el tamaño de las ventanas de cada vivienda.
Primero hacemos una tabla con los datos, donde Vp y Vg significan Ventana pequeña y Ventana grande.

Y ahora expresamos la matriz

Matriz que expresa el número de cristales y bisagras de cada tipo de ventana
Primero hacemos una tabla con los datos, donde Vp y Vg significan Ventana pequeña y Ventana grande, y C y B significan Cristales y Bisagras

Y ahora expresamos la matriz

b) Calcula la matriz que expresa el número de cristales y de bisagras de cada tipo de vivienda

