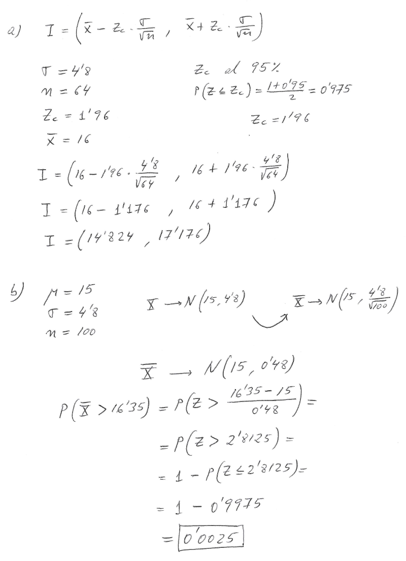
Ejercicio Inferencia EStadística
La duración de los matrimonios en un país se distribuye según una ley normal con desviación típica 4,8 años.
– a) Si se toma una muestra de 64 matrimonios cuya media es 16 años, halle un intervalo de confianza al 95% para la media de la población
– b) Si sabemos que la media poblacional es 15, ¿cuál es la probabilidad de que la media de una muestra de tamaño 100 sea superior a 16,35 años?
