Ejercicio Distribución de Medias Muestrales
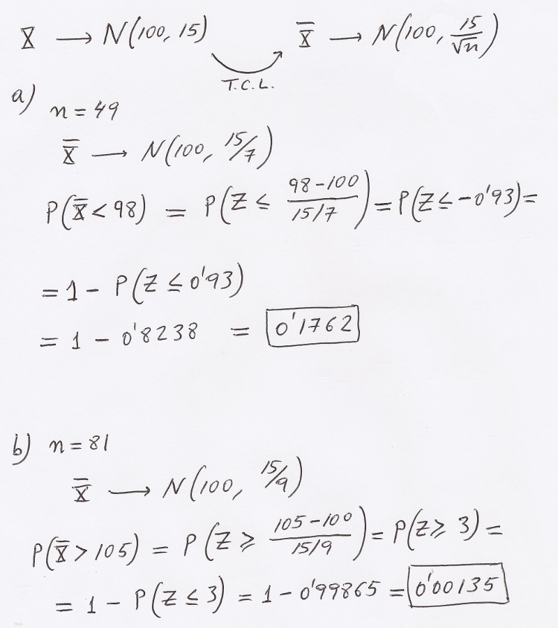
Suponiendo que las puntuaciones de un test de inteligencia se distribuyen según una Normal
.
– a) Calcula la probabilidad de que una muestra de tamaño 49, extraída de esa población, tenga una media inferior a 98.
– b) Calcula la probabilidad de que una muestra de tamaño 81, extraída de esa población, tenga una media superior a 105.
